粉體行業在線展覽
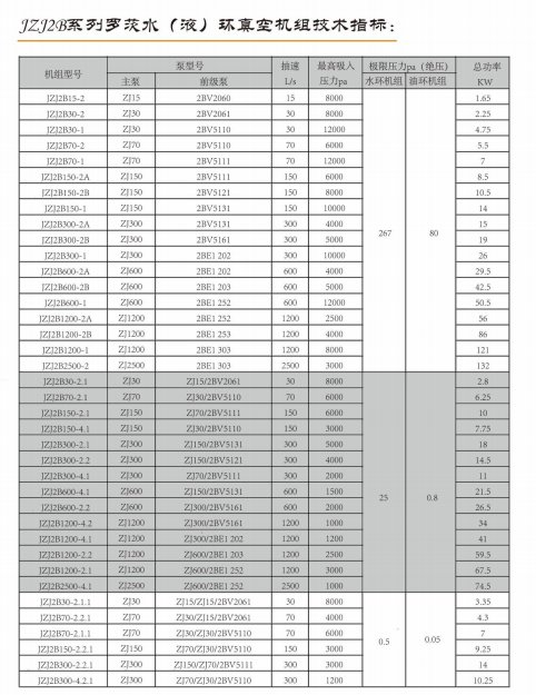
JZJ系列羅茨水(液) 環真空機組
面議
博山凱源
JZJ系列羅茨水(液) 環真空機組
1983
用連及特點
JZJ2B、JZJ2S系列羅茨水(液] 環真空機組是由ZJ型羅茨泵做為主抽泵2BV、2BE、2SK系列水(液]環真空泵或羅茨-水(液]環真空機組作為前級泵組成的抽氣機組。他不僅可以用來抽除一般氣體,還可以抽吸含有水分、有機溶劑及少量灰塵的氣體。它與一般機械真空泵相比具有不怕油污染,不怕水氣及微塵等優點。和一般液環真空泵相比,具有極限真空度高及在高真空度工況下抽速大的優點。
JZJ2B系列羅茨水(液]環真空機組由于采用了高效節能的2BV系列水(液]環真空泵作為前級泵,所以比JZJ2S系列羅茨水(液)環真空機組具有效率高,結構緊湊、維修方便、無泄漏(2BV系列為機械密封設計,不同于2SK系列的盤根密封)、耐腐蝕(2BV系列采用不銹鋼葉輪)、防護等級高等優點。
羅茨水(液)環真空機組的前級泵的工作液多采用水,也可采用有機溶劑(可用甲醇、乙醇、二甲苯、丙酮等有機溶劑)或其他液體,將前級泵作為閉路循環系統使用,大大減少了對環境的污染,同時大大提高了對有機溶劑的回收。其極限真空度由工作液的飽和蒸汽壓決定。


